zhenbo

ISSN 2096-7780 CN 10-1665/P

徐州地震台伸缩仪观测干扰分析

Interference analysis of the extensometer observation at Xuzhou seismic station

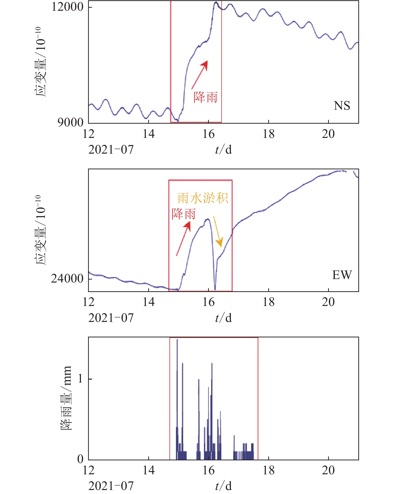
  • 摘要: 徐州地震台伸缩仪运行至今主要受降雨及气压干扰,分析研究了降雨及气压对伸缩仪的影响,并进行了定量分析。结果表明,EW分量降雨的响应较为灵敏;观测数据短时间大幅加速上行的主要原因是仪器传感器铁芯在差动变压传感器中未居中,偏置的传感器铁芯在差动变压传感器中的感应面积增加,使得感应电压在观测中大幅增加。

     

    Abstract: The extensometer of Xuzhou seismic station is mainly disturbed by rainfall and atmospheric pressure. The influence of rainfall and atmospheric pressure on extensometer is quantitatively analyzed. The results show that the response of EW component rainfall is more sensitive. The main reason for the rapid acceleration of observation data in a short time is that the sensor core is not centered in the differential voltage transformer sensor. The induced area of the biased sensor core in the differential voltage transformer sensor increases greatly, leading to an increase of the induced voltage in the observation.

     

/

返回文章
返回